반응형
1. 라이브러리 임포트
import matplotlib.pyplot as plt
import numpy as np
2. 기본적인 사용법
X = np.linspace(0, 2*np.pi, 100)
Y = np.cos(X)
fig, ax = plt.subplots()
ax.plot(X, Y, color='green')
plt.show()

3. subplot 활용 방법
# 1. 데이터 생성
x = np.linspace(1, 10, 100)
y = np.exp(x)
# 2. 선형 스케일
plt.subplot(2,2,1)
plt.plot(x, y)
plt.title('Linear Scale')
# 3. 로그 스케일
plt.subplot(2,2,2)
plt.plot(x, y)
plt.yscale('log')
plt.title('Logarithmic Scale (y-axis)')
# 4. 로그-선형 스케일
plt.subplot(2,2,3)
plt.plot(x, y)
plt.xscale('log')
plt.title('Log-Linear Scale (x-axis)')
# 5. 선형-로그 스케일
plt.subplot(2,2,4)
plt.plot(x, y)
plt.yscale('log')
plt.xscale('linear')
plt.title('Linear-Logarithmic Scale')
plt.tight_layout() # 6. 서브 그래프 간격 조절
plt.show()

4. 선 종류 설정 (기호, 문자열)
plt.plot([1,2,3], [4,4,4], '-', label='solid')
plt.plot([1,2,3], [3,3,3], '--', label='dashed')
plt.plot([1,2,3], [2,2,2], '-.', label='dash-dot')
plt.plot([1,2,3], [1,1,1], ':', label='dotted')
# plot 함수의 linestyle 값으로 문자열을 입력하여 선 종류 설정
# plt.plot([1,2,3], [4,4,4], label='solid')
# plt.plot([1,2,3], [3,3,3], linestyle='dashed', label='dashed')
# plt.plot([1,2,3], [2,2,2], linestyle='dashdot', label='dash-dot')
# plt.plot([1,2,3], [1,1,1], linestyle='dotted', label='dotted')
plt.axis([0.8, 3.2, 0.5, 5.0])
plt.legend(loc='upper center', ncol = 4)
plt.show()

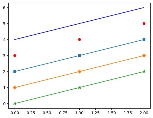
5. 마크 설정
plt.plot([4,5,6], 'b') # 'b' blue : 파란색 마커
plt.plot([3,4,5], 'ro') # 'ro', red+circle : 빨간색 + 원형 마커
plt.plot([2,3,4], marker='s') # 's' square : 사각형 마커
plt.plot([1,2,3], marker='D') # 'D' diamond : 마름모 마커
plt.plot([0,1,2], marker='$A$') # '$문자$' : 사용자 지정 마커
plt.show()

반응형
'데이터 분석' 카테고리의 다른 글
| <파이썬 데이터 분석가 되기 - 4주차> 데이터 시각화 라이브러리, 시본 (1) | 2025.02.09 |
|---|---|
| 데이터 시각화, 갑자기 한글 폰트가 깨진다면? (1) | 2025.02.02 |
| <파이썬 데이터 분석가 되기 - 3주차> 데이터 시각화 라이브러리, 맷플롯립 - 2 (2) | 2025.02.02 |
| <파이썬 데이터 분석가 되기 - 2주차> 02장. 데이터 처리 라이브러리, 판다스 (0) | 2025.01.26 |
| <파이썬 데이터 분석가 되기 - 1주차> 01장. 수치 계산 라이브러리, 넘파이 (2) | 2025.01.19 |